中文马克思主义文库 -> 〔德〕罗莎·卢森堡〔苏〕尼·布哈林 -> 《帝国主义与资本积累》(1915、1924)

第一章 抽象的资本主义社会中的扩大再生产



  众所周知,为了使问题简单化,马克思从一系列前提出发,用通俗的语言概括了整个社会再生产的过程。例如,他假设一个资本主义社会里只有两个阶级,没有海外市场,价值同价格相等,等等。在日益上升的资本主义制度下,一种不稳定的平衡是怎么可能的?——马克思就是这样提出问题的。大体上说,最抽象的(最理论性的)答案如下:
  社会总资本是C+V,剩余价值是S。
  那么总产品的价值是C+V+S(假定在一次周转过程中,不变资本全部用完,或者C只代表不变资本中用掉的部分——这同上面一个假定是一样的)。
  这个产品被分成两大部分(而且社会生产总过程也相应地被分成两大部分):生产资料和消费资料。如果我们用同样的符号,我们就得出:
  I、(生产资料的生产)……C1+V1+S1
  Ⅱ、(消费资料的生产)……C2+V2+S2
  如果我们在这里讨论的是简单再生产的话,也就是说,如果资本家把全部剩余价值即S1+S2都花光的话,正常的再生产过程的条件就要出现下述情况:
  1.由于第一部类的全部产品包括生产资料(机器、原料等等),这是不能用作个人消费的(既不能吃,也不能穿,更不能送给‘美女’),所以这些都必须用来代替不变资本C=C1+C2。因此,C1+V1+S1=C1+C2
  2.由于第二部类的全部产品包括消费资料,这是一点也不能被用作原料或机器的。所以,它必须完全被两个部类中的工人和资本家“消费”掉。所以, C2+V2+S2=V1+V2+S1+S2
  3.由于第一部类再生产了它自己的不变资本(C1),而且必须用“可以消费”的形式来代替物质形式(V1+S1);另一方面,第二部类以自然的形式再生产了它的可变资本的要素以及第二部类本身的资本家的剩余价值,而且必须替换物质形式C2,所以,要进行交换的各个部分相等,这对于确保再生产的顺利进行是极其重要的。所以说C2必须等于V1+S1
  显而易见,我们这三个方程式基本上可以被简化为单独一个方程式。如果我们从第一个方程式的两边都减去C1,从第二个方程式的两边减去V2+S2,我们就可得出上述的第三个方程式,即C2=V1+S1
   那么恰恰在这里表示出了顺利地进行简单再生产的条件第一部类的收入数额必须同第二部类的不变资本相等。如果这个条件适合的话,我们在第一部类得到:实际上生产出来的留在本部类的一份不变资本,以及用不适当的形式再生产出来的一份可变资本,它在新的外衣下出现并且可以同不变资本有利地结合在起而发挥作用,最后是一份剩余价值,它在为本部类的有生气的职员和指挥人员的再生产而改头换面之后,就消失得无影无踪了。
  为第二部类得到:用适当的形式生产出来的一份剩余价值,它在没有超出本部类范围的情况下,满足了它的所有者,并且被花光用光;此外,一份可变资本,它采取了一种方式,也能使自己转化为劳动力而不必超越本部类的范围;最后是一份不变资本,它的物质的柔软的消费外皮转化为坚硬的机器盔甲之后,同可变资本相结合。从而在这种情况下,生产也能够再一次继续完成同样的周而复始的循环。
   扩大再生产的情况要复杂得多,它的一部分剩余价值转化为资本,并且开始发挥资本的作用,换句话说,在这种情况下,再生产是“螺旋形地而不是循环式地”继续进行(马克思)。
  假定我们用α1表示资本家个人消费的那部分剩余价值,而β1表示转化为资本的那部分剩余价值,因而,假定我们认为S1=α1+β1,而与此相应的S2=α2+β2;假定我们进一步用β1C表示要被积累起来作为一部分不变资本的那部分剩余价值,而β1V表示要被积累起来作为一部分可变资本的那部分剩余价值,从而断定β1=β1C+β1V,同样,β2=β2C+β2V。因而两个部类的产品的总公式是:


  显然,简单再生产的问题已包括在那些数量里,我们把这些数量放在一个共同的框框内,而答案已在上面提供了。(说了这些之后,就有必要提出C1=(V1+α2)。)由于上面长方形外面的新数量的出现才有了困难。
  那么,这些代表什么呢?
  根据β1价值,β1代表要用于积累的那部分剩余价值;根据它的物质形式,即它的使用价值,β1代表大量的花色最多的生产资料,例如;机器、原料、物力等等。
  但是,这一部分通常不是以一种形式即只以不变资本或只以可变资本的形式依附于资本,而是根据一定的比例,按照资本的有机组成分成两部分。
  β1C,即转化为不变资本的那部分,是按相应的物质形式生产的,从而留存在第一部类内部,再也不脱离这一部类。另一方面,β1V则不能倒过来作为可变资本的一部分,因为它是以生产资料的外衣所掩盖着的,其结果是,它必须同第二部类的相应的产品进行交换。因而,β1V只能脱离其出生地。
  β2V的生产是以某种形式进行的,这种形式可以使它成为第二部类的追加的可变资本的一部分。从而,它在实际上留在家里,即留在同一部类里。另一方面,β1C具有物质形式,它从技术上使这一部分剩余价值不可能起追加的不变资本的作用。这样,β2C必须穿上β1V的外衣来进行交换。所以,就价值而官,β2C必须等于β1V
  因而,只要我们扩大再生产,就必须用一种关系把要用于积累的剩余价值吸收到第一和第二部类中去,撇开从简单再生产的观点来看所需要的平衡条件不管,这种关系是:第一部类的追加的可变资本必须同第二部类的追加的不变资本相等
  总之,我们可以给扩大再生产的公式得出三个模式,这三个模式可以简化成一个模式。而且,这三个模式同简单再生产的三个模式相似。
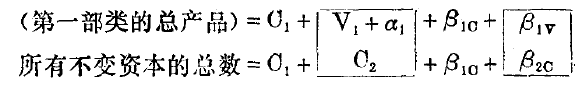
  1.第一部类的总产品(生产资料)绝不能被直接当作收益。所以它必须同两个部类中的不变资本的总数相等(包括追加的不变资本)。为了便于比较,我们在下面把一个数量放在另一个数量之下:
  生产资料的总数

[1]

  马上就可看出,这一模式是以方框内的量的相等为前提的;左边的方框内表示简单再生产的条件,右边的方框内表示扩大再生产的追加条件。两者可以归结成这个方程式:
V1+α1+β1V=C2+β2C
  2.第二部类的总产品绝不能直接地即以其自然形式被用作不变资本。因此,它必须同全部收入的总额相等(包括追加的可变资本,它转化成追加工人的收入)。[2]


  人们可以立刻看出这个模式可以追溯到上面已被演算出来的模式:C1+β2C=V1+α1+β1V
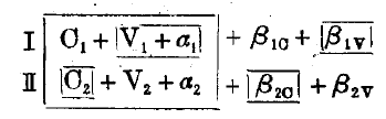
  3.也可以直接得出这个方程式。我们再回顾一下这个模式:


  上排里的(C1+β1C),由于它的物质形式——它同必要的经济职能相一致——可以维持原状;另一方面,必须交换((V1+α1)+β1V)。同什么来交换呢?同由于它的内在的物质形式而在第二部类中不能执行职能的那部分来交换。这是((C2+β2C))。结果产生了下列方程式:

(C2+β2C)=(V1+α1+β1V

  或者更好地写成:

(V1+α1+β1V)=(C2+β2C

  换句话说:第一部类的全部新的可变资本以及同一部类中用于非生产性消费的那部分剩余价值必须和第二部类中新的不变资本相等
  这样,第一部类的情况就具有下列形式:
  新的追加量β1C直接加入了不变资本C1,即没有越出第一部类的范围。结果,不变资本增殖了。它原来是C1,而现在是(C1+β1C)。通过再生产原有的可变资本V1就产生了可变资本;它在剥去了物质外壳后才能起作用;它同“可以消费”的剩余价值一起发挥作用,而(V1+α1)同C2交换位置。
  此外,通过同第二部类的交换,产生了追加的可变资本。这样可变资本从V1上升到(V1+β1V)。供“消费”用的那部分剩余价值,在采取相应的形式后,即遍历了第二部类中各个领域后,被排除出再生产过程:它所做的一切只是再生产第一部类中的资本家(即,使资本家的消费维持在原有的水平上——编者)。因而,在第一部类中,随着不变资本和可变资本的扩大,开始了新的流通。
  同样的过程在第二部类中进行。这里不变资本确实按照它的价值再生产了它本身,但仍然必须改变它的外形。此外,追加价值β2C同样在完成其物质形态的改变之后同它结合起来了。这样不变资本从C2增长到(C2+β2C),可变资本从V2增长到(V2+β2V),
  在那个过程中,新的可变资本的任何一部分都不需要伪装。[3]进入“消费”的那部分剩余价值最终被排除在再生产过程之外,而不改变其外形,使其局限于第二部类中资本的官员的再生产。这样,随着不变资本和可变资本的提高也从这里开始了新的流通。
  在下一个循环里,开始阶段的资本又得到再生产,被非生产性地消费掉的那部分剩余价值得到增长——第一次[4]——要积累的后一部分将增长得更多,等等。
  换言之,下列各方面得到增长:社会的不变资本,工人的消费,资本家的消费(一切都是以价值来计算的)。在这一方面,我们将不对以上所列各种价值的增长关系作任何进一步的分析。这个问题需要单独论述。这里我们必须哪怕是简要地提一下下面的情况:随着生产的增长,生产的市场也在发展,生产资料的市场扩大,而且消费者的需求也增长(因为绝对地说,资本家的消费同工人的消费一样增长)。换句话说,一方面在此提出了社会总生产的各个部分的平衡的可能性;另一方面,也提出了生产和消费之间的平衡。在这个过程中,生产和消费之间的平衡本身是以生产的平衡为条件的(即执行职能的资本的各个部分和它的各个分支之间的平衡)。
  在上述的分析中,我们起初忽略了极为重要的特殊的资本主义要素,如货币流通等。如果我们还继续停留在最抽象的分析水平上,那是绝不能允许的。李嘉图学派的错误和萨伊学派的错误,恰恰是他们把他们的论点上升为教条,认为产品同产品相交换,而货币在这一交易中起的是媒介作用,而且仅仅是‘媒介’作用,而不被看作是“必须表现为交换价值(即一般的社会劳动)的商品的一个本质的、必然的存在形式。”[5]
  这引起了一系列最严重的错误,进而否认在资本主义内存在着矛盾,最后,直接为资本主义制度辩护。这种辩护旨在——用马克思的话来说——为危机,生产过剩和群众的痛苦等等“开脱”。“决不要忘记,在资本主义生产上,直接成为问题的事情,并不是使用价值,而是交换价值,特别是剩余价值的增加。”[6]但是,既然资本的运动也显示出这一运动的一个阶段,在这个阶段中,资本作为货币资本出现,那么,当然就绝不能忽视它。但这丝毫不意味着不允许暂时把货币问题搁置一边,如同我们在前面的说明中所做的一样,从价值的更替和增加的观点出发,以及从资本要素的物质形式的更替和变化的观点出发来分析再生产过程。如果这一分析证明了再生产或扩大再生产是完全不可能的话,在引进了货币要素之后,它就是完完全全地不可能了。另一方面,如果这一分析表明,如同在我们说明过程中所发生的那样,扩大再生产可以用什么方法产生,那么就需要进一步分析,这种分析应该体现出更具体的理论抽象的水平。我们也要利用这一方法,因为罗莎·卢森堡现在提出了一个“重要的”论点,另一个论点是在她批评马克思主义的积累理论中提出的,她的“评论”有时同货币要素有关,有时无关,而有时把两者惊人地“有机地混杂在一起”。
  首先,让我们看看罗莎·卢森堡的最抽象的辩论方法。当我们读完下面她自己写的一段话后,我们就显得更有道理了。
  “根据我们的观点,马克思分析中的缺陷,在我们看来,是错误地把这个问题表述为一个简单的‘货币来源’问题,而实际的争端是在于有支付能力的需求,物品所投入的用途,而不是用来支付这些物品的货币的来源。至于当作流通手段的货币:当我们考察整个再生产过程时,我们应该假设资本主义社会所安排的货币或其代替物,在数量上总是刚刚相当于在流通过程中所需要的。所需要加以说明的,是由现实经济需要所引起的大的社会交换行为。尽管要记住的重要的一点是:资本主义剩余价值在能被积累之前,总是要经历货币阶段,但我们还必须追溯到剩余生产物的经济需求,这与货币从那里来的疑团是毫不相干的。正如马克思自己在另外一段中说的:
  ‘……一方面的货币能够唤起别一方面的扩大再生产,那是因为再生产扩大的可能性没有货币也已经存在;货币本身并不是现实再生产的要素。’”[7]
  因而,在“评论家”的同意下,我们将暂时把货币问题放在一边。
  卢森堡同志在她的评论的框框之内提出了如下论点:模式纯粹是纸上谈兵。他们忽视了最重要的问题,即积累对谁有利去消费那些必将积累的剩余价值,多余部分可以存放在哪里。她本人认为,这样的消费者在资本主义制度范围内是不存在的,也不可能存在。她就此得出结论:没有“一个非资本主义的环境”,资本主义是行不通的。我们的民粹派西斯蒙第和马尔萨斯及其一伙的“第三者”,不得不在实现剩余价值的困难任务中支援“抽象的资本主义”,而对于具体的资本主义来说,这意味着帝国主义的政策。帝国主义的主根就在这里。
  但是我们并不期望得到什么东西,我们倒要仔细地看一看卢森堡同志的批评性的分析。
  此处我们将把下面《资本积累论》的段落毫不删减地抄录如下,这一段是作品中最重要的段落之一,它把作者的基本的重要的思想在一定程度上聚集成一个焦点(这里罗莎·卢森堡考察的目标是《资本论》第二卷的模式[8])让我们听一听《资本积累论》的作者是怎么说的吧:
  “按照马克思在《资本论》第一卷中的假定,一开始就是追加的生产资料与工人的生活资料的形态出现(我们的公式是β1C+β1V和β2C+β2V——尼·布)。这两者都是用来使第一部类及第二部类的生产增大。从马克思模式的诸前提看,不可能发现(!——尼·布)生产中这种累进的增长是为谁而发生(着重点是我加的。——尼·布)当然,(这个“当然”确实十分可笑!——尼·布)生产增大了,社会消费也会同时增大。资本家的消费增大了……,劳动者的消费也会增大,……如果其它一切都不加考虑的话(?——尼·布),资本家阶级所增大的消费,决不能看作是积累的目的。事实刚刚相反,当这种消费进行而且增大的时候,就没有积累可言;资本家个人的消费只能看作简单再生产。问题毋宁在于:如果资本家自己不消费而“禁欲”,即在积累的场合下,资本家是为着谁而生产呢?更不用说,日益增大的劳动大军的维持,并不是继续增长的资本积累的目的。工人的消费,在资本家看来,乃是积累的一个结果,如果不颠倒资本主义生产的基础,那既不是它的目的,也不是它的前提。无论在怎样的场合,工人常常只能消费相当于可变资本的那一部分生产物。此外,一文也不能多消费。倘若是这样,那么,那些不断扩大的剩余价值,靠谁人去实现呢?模式告诉我们:是资本家本身,只有他们才能实现。那么他们怎样处置这些日益增大的剩余价值呢?模式答复我们:他们为了日益扩大自己的生产,而使用它。从而,这些资本家们就成为一种为扩大生产而扩大生产的糊涂虫了。他们为了要用来制造新机器,所以反复不断地制造更多的新机器。于是,结局就不是资本的积累,而是毫无目的地增加生产资料的生产了。只有像图冈—巴拉诺夫斯基般的胆大妄为,像他那样对怪论的爱好,我们才能认为这种不知疲倦的凭空乱舞,是资本主义的现实在理论上的一个忠实反映,是马克思学说的正确推断。”[9]
  这一段包含着和“积累了”这么多的错误和矛盾(从辩证的角度来看,也有不少错误和矛盾),以致必须立即加以分析。
   第一点:首先,从主观目的(即使它是一个阶级的主观目的)的观点出发有没有理由提出这个问题?这种目的论在社会科学中起什么作用?很清楚,即使是这个问题的阐述法也是不正确的,因为我们讨论的是需要认真对待的阐述而不是比喻性的陈词滥调。事实上,让我们看一看其中的一条规律,例如利润率下降的经济规律,这也是罗莎·卢森堡同志承认的。利润率下降是为“谁”即为谁的利益服务的?这个问题显然很可笑,甚至都不应该提出来,因为目的这一概念从一开始就把它排除掉了。单个资本家确实试图赚取差额利润(并且时常能得到它),其他人接受它,结果是我们面对这样一个社会现实:利润率下降。卢森堡同志因放弃了马克思分析中的精确概念而离开了马克思主义方法论的轨道。
   第二点:罗莎·卢森堡同志提出“为谁”的问题并给以否定的回答后(“不为谁”),立刻加以评论,而且仅仅是顺便地说的,好像这个问题并不重要似的。当然在这个过程中资本家的消费同工人的消费都在增长。罗莎·卢森堡没有注意到,这个声明事实上答复了谁从扩大生产中得益这个问题,因为从分析资本主义生产的客观联系的角度出发,她的问题——主观地提出来的,所以是毫无意义的——只有客观地提出来时才能变得有意义。但是如果像这样地提出阿题,它就成为:每一个正在上升的社会制度——不管它以什么样的历史——经济外衣出现,不管它产生什么样的矛盾,也不管它的领导人在他们的经济活动中有什么样的动机——包含着消费和生产之间完全客观的(即使是间接的)联系,由于生产增长的结果而出现消费的增长——作为生产增长的另一个方面——构成了整个社会制度发展的基本前提。罗莎·卢森堡正是通过指出社会消费的增长而不自觉地证实了她提出的问题。
   第三点:但是那一点也不能阻止她在所引用的段落的结尾处宜判马克思的模式是图冈—巴拉诺夫斯基主义,而这个主义的实质是把生产同消费分开,并且把前者完全分离开(“毫无目的地扩大生产资料的生产”等等)
   第四点:卢森堡同志在承认由于积累而出现的“整体资本家”的消费增长之后,立即试图缩小这一事实在理论上的价值。她写道:“即便消费发生和增长了,积累也没有发生”,等等。这类诡辩事实上已大大地离开了辩证法,因为每个人马上就会清楚没有相应的积累,消费的增长就不可能成为一个持续不断的现象。卢森堡同志的错误是非常根本性的错误。这种错误是由于把统计上的数量同一个过程相混淆而产生的。实际上,假设我们有一定数量的剩余价值S:S1相当于已被消费掉的S;S2相当于积累的部分,结果S=S1+S2。由此而得出,就我们所讨论的特定的不变的S而言,如果S1增大,S2就必须变小,反过来也是如此。S是S1增长的极限,而零则是S2下降的相对的极限。在这种暂时的即特定的和不变量S的“有利”情况下,我们回到了简单再生产,并且没有移动过一步。(由于不可能在竞争的斗争中达到这点,我们实际上所得到的是倒退的运动,所以是衰退。)另一方面,如果积累的比例增长了,资本逐步地增长了,新生产的剩余价值的总量就随着每一次周转而增长,而每一次周转仅仅为消费部分的持续稳定的增长创造了可能性,如果那部分剩余价值是按比例增长的话;换句话说,剩余价值的消费部分是积累的一个函数。把这两种东西彼此分开是没有意义的,考虑到再生产过程就更是如此了。
  但是,问题还可以从另外一面来说明。因为如果我们讨论的不是积累的客观结果,而是推动资本家的东西(我们已经看到,这种推动力不总是一样的),那么我们面前就出现积累的另外一面:资本家积累,为的是能够继续不断地得到越来越多的积累。因为资本家的“动机”的特别之处就在于:积累是资本家的目的本身。从这个观点来看,关于积累的目的这个问题(“无论如何,资本家的消费不能被看成是积累的目的”),简直是多余的了。
   第五点:罗莎·卢森堡关于工人的消费增长的说明同样是不成功的。“维持一支日益扩大的工人大军,更不可能是资本不断积累的目的。”多么正确啊!然而(从资本主义的动力观点来看),“维持一支日益扩大的工人大军”确实可以成为积累的目的,而且常常的确积累的目的。这点绝非难于理解。资本主义为进一步积累而积累。为达到这一目的,它必须把在一次周转中积累起来的部分资本转化成下一次周转中的可变资本,转化成追加的起作用的活的劳动力。结果是日益增殖的剩余价值。“在资本主义社会里,工人的消费是积累的结果,从来不是它的前提,”否则资本主义的基本原则就被颠倒了。这是卢森堡同志提出的可怕的前景。但是它“从来不是”真实的。工人的消费只能是劳动能力的生产,而那是在《资本论》第一卷问世以来就已解决了的。毫无疑问,劳动能力的生产是物化价值,剩余价值和资本生产的前提,而且追加劳动能力的生产是积累增殖的先决条件。因而我们在这里涉及到的也是一个“完完全全的误解”。
  卢森堡同志以绝望的口气疾呼道:“无论怎样,工人只能消费与他们的可变资本相适应的那一部分产品(这个“他们的资本”指的是什么呢?应读成:“他们的收入”,这一收入同可变资本相等。——尼·布),多一点也不行。”在这里,罗莎·卢森堡清清楚楚地考虑到原来的劳动力,劳动能力的原来价值,因而考虑到原来的可变资本量。但是接受这一假设就意味着从一开始就把扩大再生产排除在外。可是如果从一开始就在合乎逻辑的论证中把扩大再生产排除在外的话,那么让它在结束时消失自然就变得容易了,因为这里涉及的是一个简单的逻辑错误的简单再生产。但是归根到底,事情是极端的简单。雇佣追加工人就产生了追加的需求,这正好实现要积累的那部分剩余价值,确切地说,就是有必要把自己转化为起作用的追加的可变资本的那部分剩余价值。那就是为什么罗莎·卢森堡同志的评论在这点上也是错误的,而马克思则是完全绝对的正确。
   第六点:但是——可怕的名言——这样,资本家就要“为扩大生产而疯狂地扩大生产”,而且整个“旋转木马”就“不是资本的积累,而是毫无目的地增加生产资料的生产。”(着重点是我加的。——尼·布)
  让我们来考察一下这两个论点,尽管肤浅的考虑已经把这些论点的虚浮本质揭示得淋滴尽致了。
  关于罗莎·卢森堡的最后的“批评性”攻击,让我们在这儿回忆一下马克思在《剩余价值学说史》中的一段话:
  “但作为人格化的资本,产业资本家是为生产而生产为发财而发财的。(着重点是我加的。——尼·布)在他不过是资本的职能的执行者,因而不过是资本主义生产的代理人的限度内,对他来说,重要的是交换价值和它的增殖,而不是使用价值和它的量的增加。重要的是抽象财富的增加,只是别人劳动的更大的占有。他和贮藏货币的守财虏一样为绝对的致富冲动所支配,不过不以金银贮藏的幻想形式为满足,而致力于同时就是现实生产的资本的形成。如果劳动者的剩余生产是为别人的生产,一个模范资本家即理应如此的产业资本家的生产,便是为生产而生产。……不管怎样挥霍浪费,他在本质上总是和贮藏货币的守财虏一样贪婪吝啬的。……产业资本家一旦成为享受财富的代表,一旦追求乐趣的积累,而不是追求积累的乐趣,他也就或多或少不再适于完成他的职能。……所以,他也是一个剩余生产为别人的生产的生产者。”[10]
  如果罗莎·卢森堡同志被“生产的狂人”吓唬住,并同他们一起去吓唬别人,而且全神贯注地惊呼:“那还被认为是马克思学说的实际推断哩!”,我们的回答是,那绝不是什么推断,而是事实上代表了那个学说的不可分割的一部分,是一个细节。这位大师的巧手早已对此有所描绘。一般来说,对资本家的动机的分析有三种可能性,即资本家或者把消费作为自己的目标,或者把货币的“虚幻形式”的致富作为他自己的目标,或者最后被对于“实际生产的资本积累”形式的致富的强烈要求所推动。既然罗莎·卢森堡把第一和第三种可能性排除掉了,她的唯一可能性就是“虚幻的形式”。但是,罗莎·卢森堡这样就把“一般的资本家”转化为中世纪的货币兑换者和高利贷者,转化为普希金式的“贪婪的骑士”,至多把他转化为一个货币资本家。
  毫无疑问,罗莎·卢森堡的论点导致这种结果,这是很符合逻辑的。她所运用的这些论点根本不符合客观现实,这也是不容置疑的。
  罗莎·卢森堡说:“这个过程的结果是资本积累,而是盲目地不断增加生产资料的生产。”那么,首先,这里存在着对论题的某种错误解释,因为整个消费资料的生产突然地、令人不解地消失了,这个消费,归根到底也是生产资料的生产所依赖的东西;换句话说,罗莎·卢森堡同志首先把马克思打扮一下,修剪了他的胡子,并把图冈—巴拉诺夫斯基教授和部长的眼镜给他戴上,以便她后来能够容易得多地把马克思的词句扣上图冈—巴拉诺夫斯基主义的帽子。如果一个人一开始就偷偷地把马克思和图冈之间的分歧抛开,然后强调说明两人之间根本没有分歧,那么他就一定能成功地使某些人上当。其次,罗莎·卢森堡有什么理由把积累同扩大再生产对立起来?看来有《资本积累论》的作者才能理解这种神秘主义。
  扩大再生产的主观意义,即从资本主义生产钜子的角度上看的意义,在于致富的生产形式;但是那一点也不意味着要否认这些主观倾向的客观后果,这些客观后果在于满足整个社会日益增长的需要,不问后者的对抗性质如何。因为正像上面所提到的那样,这是独立于具体的历史外表的社会发展的基本条件,在这样的历史环境下,特定的社会得到表现。马克思写道:
  “此外,正如我们以前已经说过的(第二卷第三篇),不变资本和不变资本之间会发生不断的流通(甚至把加速的积累撇开不说也是这样)。这种流通就它从来不会加入个人的消费来说,首先不以个人消费为转移,但是它最终要受个人消费的限制,因为不变资本的生产,从来不是为了不变资本本身而进行的,而只是因为那些生产个人消费品的生产部门需要更多的不变资本。”[11]
  这一段话使罗莎·卢森堡同志得意洋洋地解释说:“这一段话表明图冈—巴拉诺夫斯基的为生产而生产的思想和马克思的思想格格不入。”我们的分析表明,人和人不尽相同。留给罗莎·卢森堡去做的,是在马克思身上再制造出一个新的“矛盾”,即第三卷和《剩余价值学说史》之间的矛盾,正如她已经在第二卷和第三卷之间发现了矛盾一样,而且,在她之前很久的资产阶级科学家们,已经在第一卷和第三卷之间发现了“更为重要的矛盾”。那么,我们就积累了很多矛盾,这些矛盾事实上会把可怜的马克思吓得不知所措。但是幸运得很,对他来说,这个“积累”比卢森堡设想的资本积累具有甚至更多的“虚幻形式”的色彩。但愿我们已经把罗莎·卢森堡同志在《资本积累论》中发挥的基本论点都论述到了。
  在她的《反批评》中,罗莎·卢森堡同志以同样的或者最好把它说成是以几乎同样的理论抽象水平谈到了同样的问题。我们也将在这里评论一下她的论证。让我们听一听我们的“评论家”怎么说的吧:
  “让我们假定,资本主义社会里所生产的全部货物在某个地方堆积在一起,供整个社会使用。那么,我们将会看到这一大堆货物是如何自然地被划分为几个种类不同和目的地不同的大的部分的。”[12]
  紧接着卢森堡同志把她的“大堆货物”分成下面两部分:首先是“广义的生活资料”,其次是“用来更新那些消耗掉的生产资料的新的生产资料”。(顺便提一下,如果我们只讨论“更新消耗掉的”生产资料,任何“追加的不变资本”的来源都将消失。但那只是顺便提一下。)
  在此基础上,罗莎·卢森堡现在可以进一步将上述一大堆货物明确地区分成三部分:
  1.一部分用来更新不变资本;
  2.一部分一方面用来更新可变资本,而另一方面包含着被非生产性地消费掉的剩余价值率;最后,
  3.一部分剩余价值隶属于积累。(顺便提一下,非常显然,后者的分法是十分不妥的,而且只能适用于理想的“大的堆积”,即通过抽象的过程。)
  罗莎·卢森堡进而提出了谁是这三个部分中各个部分的购买者这一问题。至于她的“大的堆积”的第一和第二部分,罗莎·卢森堡非常简单地解答了这个问题,然后立即转到第三部分的问题,即转到要资本化的剩余价值率。这里我们不得不重复她的独特的论证,尽可能地保持其原文:
  “在我们假设的资本主义社会商品总存货中,我们必须相应地找出第三部分,它既不是用于更新消耗掉的(着重点是我加的。——尼·布)生产资料,也不是用于维持工人(?!!——尼·布)和资本家的生活。它将是这样一份商品,它……(包含)用于资本化和积累的利润。它们是什么样的商品呢?社会中又是谁需要他们呢?(着重点是我加的。——尼·布)”
  又说:
  “这里,我们接触到了积累问题的核心,而且我们必须考察所有的解决尝试。那些享用后一部分社会商品存货的人,真的可能是工人吗?然而,工人除了从他们的雇主那里得来的……工资之外,并无其他手段……”[13]
  “也许可能是资本家自己为增加自己的个人消费而成为那后一部分商品的顾客吧?……但是,如果资本家自己像流水似地花掉全部剩余价值,那就不会有什么积累……”[14]
  因而结论是:
  “那么,谁可能是那部分商品——它的出售仅是积累的开始——的买主和消费者呢?到目前为止我们可以看到那既不可能是工人也不可能是资本家。”[15]
  所以另外的可能是:
  “然而,社会上不是存在着如公务员军界人土牧师学者和艺术家等各种阶层,他们既不能算做工人也不能算作雇主吗?”[16]
  但是,这些阶层“没有任何独立的购买力来源,但可算作两大阶级——工人阶级和资本家阶级消费中的寄生虫。”[17]
  在列举了所有这些可能性后,《资本积累论》的作者突然产生了一个有理智的想法,但是她又尽快地把它抛弃掉了:
  “总之,这个问题的答案是十分简单的。也许我们就像那个骑着毛驴的人,还在拼命地寻找他骑着的毛驴哩。也许资本家互为其余那部分商品的顾客——他们没有乱用它们,而是用它们来扩大生产,进行积累。那么,积累若不是扩大资本主义生产,它还能是什么别的呢?只是(这个“只是”有什么必要?——尼·布)完成这个目的的那些货物一定不能由资本家个人消费的奢侈品来组成,而必须由各种生产资料(新的不变资本)和工人的生活用品来组成。”
  ,但这样的解决办法只是把问题从这个时刻推到下一个时刻。在我们假定积累已经开始和增加的生产在下一年里向市场投放甚至更大数量的商品之后,又出现了同样的问题:(着重点是作者加的)我们从什么地方找到顾客来购买这一批甚至更大数量的商品呢?我们是否这样回答:这批数量增大的商品将再次在资本家之间进行交换,以再次扩大生产,等等,每年如此,这是不是可以呢?那么,我们就有一个旋转木马,它在天空中自我旋转。那不是资本主义积累即货币资本的积聚,而是相反:(!!!——尼·布)为生产商品而生产商品,从资本的观点来看,这是十分荒谬的。如果作为一个阶级的资本家是全部商品的唯一顾客,除去他们必须拿出来维持工人生活的那一部分——如果他们总是必须用自己的货币(哎呀!——尼·布)去购买商品,实现剩余价值,那么,利润的积聚,为资本家阶级的积累,就不可能发生。”[18]
  这一切导致了一个高潮,一个决定性的结论,这个结论早就预示着向新的主题的转移:
  因此,“他们必须寻求许多其他的买主,这些人从一个独立的来源那里获得他们的购买手段,而不是……从资本家的钱袋里获得购买手段。他们必然是在商品交换亦即货物生产的基础上获得购买手段的消费者,这种商品交换只不过是在资本主义商品生产之外发生罢了。”[19]
  现在也让我们一条一条地考察一下卢森堡同志的这一逻辑推理:

1.“商品堆积”中第三部分的特点


  在这里,我们必须认真地考察下面初看上去不很重要的事实:在她给臭名昭著的“第三部分”所下的定义中,罗莎·卢森堡同志认为它“既不是用于更新消费掉的生产资料,也不是用于维持工人的生活”,等等。为什么在这儿提到消费掉的,而且只是消费掉的生产资料,而不是作为一个整体的生产资料呢?因为,只要用于转化为资本的剩余价值包括生产资料,这些生产资料就是追加的生产资料。并不是因为它们代替了旧的生产资料,而成为“新”的生产资料(商品堆积的第一部分完成了这一职能),而是因为他们起了新的追加资本的作用,是在原有的数量上增加的部分。但是,工人的情况如何呢?真是像罗莎·卢森堡所声称的那样,“第三部分”一点也没有用来维持工人的生活吗?是这样的。不过,说价值的一个分子也没有代替“消费掉”的可变资本,这是正确的。但是,难道不可能像存在着追加的不变资本那样存在或者有可能存在“新的”即追加的可变资本吗?只要人们承认追加的不变资本,他就必须也承认可变资本的增殖(不管它少到什么程度),这是不言而喻的。但是这个追加的可变资本的成分,偷偷地从一开始就从商品堆积里面消失掉了。卢森堡同志利用这一情况来迅速获得资本,而不顾她对积累的否认。

2.工人作为可能的消费者


  卢森堡同志正是在对工人作为可能的消费者的问题所作的分析中获得这个资本的。按照罗莎·卢森堡同志的观点,不存在工人成为“剩余”的消费者的问题,因为,众所周知,他们生活在贫困之中,而且他们的购买力受到他们的工资的限制。对此的答复可在意释一个著名的轶事时找到:我明白工人的生活条件很坏,我也明白他们的购买力受到他们工资的限制,但是只有卢森堡同志的信徒们才能明白,甚至连包含着将要资本化的那部分剩余价值的那些东西的一个分子都不是工人消费的。实际上,他们所说的是什么样的工人?“首先”,“工人”一词是什么意思?如果我们讨论的是原来的工人,原来的劳动能力以及偿付他们的劳动的旧工资,那么,这样的前提事先就包含了否定的答案。可变资本的恒久性是以工人的需求的恒久性为前提的,是以缺乏追加工人为前提的,一句话,是以为维持以前的活的劳动能力的全部条件为前提的。但是,在正常情况下,也就是说,除非将要资本化的那部分剩余价值全部转化为不变资本,那也是以积累不足为前提的。因而,在这点上卢森堡同志的错误完全同前面那点上的错误相一致,基本上是一种赘述。事实上,情况是这样的:资本家雇佣追加的工人,而追加的工人然后生产出追加的需求

3.资本家作为可能的消费者


  罗莎·卢森堡同志在这点上的论证必定会使人完全目瞪口呆。她自己完全离开了平衡来分析社会平衡的条件。她是如何提出这个问题的呢?
   她问道(我们再一次擅自引用有关的段落):
  “也许可能是资本家自己为增加他们自己的个人消费而成为顾客的吧?”
   她答复道:“如果资本家像流水似地去花掉全部剩余价值,就不会有什么积累。”
  换句话说,她问道:如果单个资本家把一切都消费掉的话,而且毫无积累,那么,积累怎么会是可能的呢?
  答复是:因为如果要积累的话,人们就必须积累;否则积累是不可能的。
  当然,卢森堡同志不是不知道,在我们的情况下资本家的需求必然是一种生产性的需求。但是,她近乎天真地满足于最乏味的和单调的重复,纯粹避免正确地提出问题。这里她也是从一开始就把实际问题同不能接受的前提混为一谈。难怪这个答案也是不能接受的。事实上,资本家的需求是追加的,正因为他们确实积累了。永远也不应该忘记,包括追加资本的价值要素在内的物质要素一开始就部分地属于资本家。因此,我们讨论的是资本家对他们已经占有的东西的需求,这样,我们所讨论的是在资本家阶级内部的交换。只有当人们懂得这点以后,他才能懂得“自己的消费者”是什么意思了。至于资本家阶级,购买只意味着在这个阶级内部的相互交易。
  但是,我们绝没有把这个问题讨论透彻。追加资本(不变的和可变的)的价值要素从一开始就掌握在资本家的手中。那么,物质要素呢?又是,又不是。生产的过程一方面造成资本家在手中握有生产资料,另一方面握有消费资料。生产资料可能实际上在下次生产循环中出现——如同在人们进行的任何生产过程中出现——但是对消费资料就不能这么说了。生产过程包含了生产资料和活的劳动能力之间但不是生产资料和消费资料之间的有生气的关系,另一方面,劳动能力的生产是工人阶级的消费过程。这个过程的特点是在工厂外面发生的,是在资本家控制范围以外发生的,而且其特点包括了单纯的已有的价值(消费资料价值)的易手。
  所有这一切都表现在一个简单的基本的和初步的事实上,即进行再生产所必需的交换行动不仅包括两大部类的资本家之间的交换——当资本家作为直接的购买者和销售者出现时——而且包括资本家和工人之间的交换。
  例如,假使我们拿实现供积累用的剩余价值的问题来看,我们得到:
  Ⅰ……β1C+β1V
  Ⅱ……β2C+β2V
  具体情况是如何进行的呢?我们看到,等式β2C=β1V提供了主要条件,在这个条件下,等式的某些部分必须交换位置。那么,我们将得出第一部类中的生产资料和消费资料的总和,而后者的总和应根据它的价值与必要的追加的可变资本相等。我们在第二都类中也得出同样的结果。但是,人们不应把社会产品及其物化形式同社会的生产资本及其物化形式混淆起来。这个产品包括生产资料和消费资料。这个生产形式的资本包括生产资料和活的劳动力。
  “从价值方面看,这个资本等于该生产部门使用的社会劳动力的价值,也就是等于为这个社会劳动力而支付的工资总额。从物质方面看这个资本是由发挥作用的劳动力本身构成的,即由这个资本价值所推动的活劳动构成的。[20](着重点是我加的。——尼·布)
  结果,必须要有交换行动,在这个行动中,生产资料(资本家所占有)转化为活的劳动能力。另一方面(此处我们不得不把我们的论点提前一点),由于社会结构的原因,资本家不能直接处理物质的生产资料。这就引起了工人和资本家之间的进一步的交换行动。
  从而我们得到:
   第一部类的资本家把β1V的货币额预先付给第一部类中追加的工人(雇佣追加的工人)。
   第一部类中追加的工人利用这笔款项,全部款项从第二部类中的资本家那里购买生活资料。因为β1V=β2C,β2C的整个部分消失在第二部类的资本家中。但是出现了价值与此相等量的货币。[21]
   第二部类的资本家用这些货币从第一部类的资本家那里购买生产资料。于是,第二部类的资本家占有了适当的生产资料形式的追加的不变资本,而另一方面,对于第一部类的资本家来说,β1V消失在生产资料中,然而他们在这个生产过程开始时预付的货币额又回到他们手中。
  让我们把第一部类的资本家标为KⅠ,把第一部类的工人标为PⅠ;第二部类中相应的标记则为KⅡ和PⅡ。从有关的契约各方的观点来看,而不是从价值观点来看,一连串的购买和销售的全部行动采取了下列公式:
  KⅠ—PⅠ—KⅡ—KⅠ(这条链子上的环节是KⅠ—PⅠ,PⅠ—KⅡ,KⅡ—KⅠ)。
  这样,所有物化要素都有了自己的归宿,而货币在完成了流通手段的作用和调节了资本的物化形式的正确分工之后,回到了它的所有者手中。
  我们假定第一部类中的资本家预付了货币。但是,我们也可以假定货币来自第二部类中的资本家的钱袋。这样,我们就得出下面的系列:KⅡ从KⅠ那里购买生产资料,为此预付了β2C=β1V的款项;KⅠ雇佣了追加的工人PⅠ;追加的工人PⅠ从KⅡ那里购买消费资料;货币回到了原来的地方;资本的物化要素在相应的关系中得到。
  这一系列购买和销售行动就将是:KⅡ—KⅠ—PⅠ—KⅡ(这个链条的环节是:KⅡ—KⅠ,KⅠ—PⅠ,PⅠ—KⅡ)。
  让我们现在回到我们的问题上来。很清楚,资本家够——而且也确实——显示出追加的需求,部分是直接提出的(对于生产资料),部分是象征性地通过工人(对于使用物品的需求),通过预付货币给工人表现出来的。
  结果是明显的。资本家自己购买追加的生产资料,追加工人工人从资本家那里获得货币,而资本家购买这些追加的工人的劳动能力,购买追加的消费资料。然而,罗莎·卢森堡同志搬出了可怜的赘述而得出结论说:“到目前为止,我们可以看到,那既不可能是工人,也不可能是资本家。”[22]

4.现在是最精彩的部分


  罗莎·卢森堡着重考察了一系列表面的可能性并得意洋洋地“驳斥了”这些可能性之后,对问题的提法非常接近于正确。她提出了(刚好在结尾处!)是否资本家而且确实不是单个资本家可能有需求,而是一个生产性的需求这样一个问题。正像我们已经看到的那样,在这个问题上,她是从一个十分正确的前提出发,即需求的对象必须由生产资料和工人的消费资料所组成。那么现在发生了什么呢?当她即将接近解决这个问题的时候,她突然发出惊呼(这已被我们引述过):“这一切都很好,但是这种解决办法把困难从这个因素推向下一个因素。”卢森堡同志,请原谅,如果这“一切都很好”(这个“一切都很好”是被迫承认的,因为她提不出一个反对这个“一切都很好”的事实的论点),就是说,找到了购买者,我们要问:必须被“推到下一个因素”的“困难”在哪儿呢?
  也许在于这个事实,即在下一个时刻里,销售以购买作为前提,从而又将找到购买者?困难就在于购买者突然在舞台上消失了。但是当购买者又一次被幸运地找到,困难被证明是虚构的“想象的”困难,即罗莎在分析再生产时的一种困难,而不是再生产过程本身的困难之后,人们不禁要问:这还需要什么呢?罗莎·卢森堡试图敏捷地爬上旋转木马使自己摆脱这件难办的事情。这个旋转玩意儿应该能使她逃跑得很得体。
  显然,旋转木马的论点取决于两个要素:(1)这个“困难”的重复;(2)“从资本的角度来看,〔它〕是毫无意义的。
  就这个“困难”的重复而言,我们已经作了解答。但是,不论是资本家的观点或是从其他观点来看,都不会反对这一点,即这个过程显现出循环的性质。“旋转木马”一词以及类似的美妙的比喻,都绝不可能证明什么东西。
  然而,让我们再来考察一下“毫无意义”这个论点,因为它在这里提得更为愚蠢,并且有点躲躲闪闪,
  一个“旋转木马”。好。正如我们已经看到的那样,罗莎·卢森堡写道:“那么,这不是资本主义积累,即货币资本的积聚,而是其相反,即为生产商品而生产商品,从资本的角度来看这是彻头彻尾的谬论。”
  在我们的面前又一次出现了实实在在的一大堆错误和矛盾。
  首先,众所周知,货币与商品相对;货币的商品形式与货币资本相对。结果,按照罗莎的观点,我们正在讨论的只是一则犹太轶事中的简单再生产。“你伤了你自己吗?”“喔,没有,恰恰相反。另一方面,工业资本——它“体现了实在的再生产”——在其流通过程中,把这一流通中的所有三个阶段统一了起来。(“产业资本连续进行的实际循环,……不仅是流通过程和生产过程的统一,而且是它的所有三个循环的统一。”)[23]
  其次,罗莎·卢森堡自己既然承认这“一切都很好”,就是说,买主找到了,生产又能开始了,她就承认它已经过了货币阶段,不管她将把这一实在的,扩大的(而且显然不是社会主义的)再生产过程称作什么。(我们已在上面具体说明了这是如何发生的。)
  再次,卢森堡同志绝不满足于此。她是不满足的,因为她把资本主义积累看得坏透了。因为她把社会总资本的积累和货币资本的积累等同起来。要是人们能够怀疑从她的第一部著作《资本积累论》中,以及在此基础上(如同我们上面所做的一样)得出这样一个结论,她现在在《反批评》中已作出了这个结论,而且的确是直率地说的。她认为,资本家的目标体现在作为目的本身的货币上。如果货币仅仅是“实际生产”运动的一个阶段,那就根本谈不上资本的积累。
  马克思更确切地描述了这个过程:
  “出售商品不是为了购买商品,而是为了用货币形式来代替商品形式。这一形式变换从物质变换的单纯媒介变成了目的本身。……于是货币硬化为贮藏货币,商品出售者成为货币贮藏者。”[24]
  在另一个地方他写道:
  “除了某些例外,如果准备库内的货币贮藏大大超过平均水平,那就表明商品流通停滞了,或者商品形态变化的流动中断了。”[25]这些过程作为扩大的资本主义再生产的模式是否有效呢?
  最后,我们将再引一段,这一段彻底摧毁了罗莎·卢森堡的论点:
  “旧贵族的思想,如黑格尔正确地指出的,主张‘消费现存的东西’,特别是讲究个人侍奉的豪华,以示阔绰,与此相反,在资产阶级经济学看来,具有决定性重要意义的是,宣布积累资本是每个公民的首要义务,并谆谆告诫人们,如果把全部收入吃光用尽,而不把其中相当的一部分用来雇用追加的生产工人,让他们带来的东西超过他们耗费的东西,那就不能积累。另一方面,资产阶级经济学又不得不同一般人的偏见作斗争,(听着,听着,你们卢森堡的同志们——尼·布)这种偏见把资本主义生产和货币贮藏混为一谈,……其实,把货币贮藏起来不加入流通,同把货币作为资本而增殖,恰恰是相反的两回事,从货币贮藏的意义上进行商品积累,是十足愚蠢行为。”[26]
  以及“为积累而积累,为生产而生产——古典经济学用这个公式表达了资产阶级时期的历史使命。”[27]
  罗莎·卢森堡同志的支持者会回答说:放心好了,《资本积累论》的作者绝没有把货币额的积累同资本积累混淆起来。现在,二者必择其一:要么我们认为在积累过程中增加到原先的资本中去的追加资本只能是货币形式,因而这一形式可以立即被生产资本的形式所替代;要么我们不顾普通常识而否认这点。
  如果我们承认这一点,下面的也就立即清楚了。在每个特定时刻内,用于积累的全部剩余价值以各种形式出现:商品形式,货币形式,执行职能的生产资料形式和劳动力形式。所以绝不应把货币形式的剩余价值和总剩余价值等同起来。作为一个整体的整个资本家阶级能够在我们规定的条件下实现总的利润,但这是一个分阶段实现的过程。因而,任何资本家的剩余价值,任何生产部门的资本家的剩余价值,以及由此而得到的整个资本家阶级的剩余价值,在发展过程中都经过货币阶段。另一方面,根据罗莎·卢森堡的看法,就必须作这样的推断:如果剥去货币外衣,用于积累的利润就不再是积累起来的有效利润。然后,罗莎·卢森堡同志的支持者还企图对这部分资本的单性生殖的办法和途径作出解释哩!
  但是,在整个犹太教法典的诡辩中最可笑的东西是下面有趣的情况。让我们假定根据罗莎·卢森堡同志的部分晦涩的,部分极其模棱两可的愿望,供积累用的全部利润是由黄金构成的。每个单个资本家,如同资本家作为一个整体一样,将会同时实现各自的产品(即生产资料和消费资料)。所以产生这种情况完全是由于存在海外市场的可能性,这使罗莎·卢森堡多么高兴啊。很好!下一步是什么呢?除非我们坚持要把我们的资本家变成囤积者和守财奴等等,否则我们就必须让他们把黄金转换成生产资本。他们现在想要购买追加的生产资料。但是从哪儿弄到呢(既然他们自己已经把它们卖掉)?所以,他们从国外买回它们。另外,他们想要雇佣工人。他们成功了。但是没有生活用品给工人。那么,他们从国外为自己购买消费资料。所以整个过程又重复一遍:资本家先把他们的商品卖到国外,然后他们又买回同样的商品。[28]因而“积累”的问题,每次都是以同样的方法解决。
  如果这不是兜圈子和闹剧,又是什么呢?
  到目前为止,我们应该已经讨论了积累问题的最抽象的公式我们看到罗莎·卢森堡开始时把货币问题排除在外,然而在后退时却不得不完全求救于她最初拒绝的要素。在这点上,我们也揭露了《资本积累论》的作者的错误实质。但是,为了完备论证,为了使卢森堡派满意——这是我们希望给予的——我们将专用一章来讨论再生产过程中货币的作用问题。




[1] ①斯威齐批评布哈林用这种方法来列成公式。他说,应该列出被资本家阶级消费掉的剩余价值的增加部分。但是,布哈林特别指出,在下一个周期里,被非生产性地消费掉的那部分剩余价值将第一次得到增长。所以,布哈林对这个问题是十分清楚的。整个问题将在附录二中讨论。

[2] ①或者转化成原有工人的追加工资,在这种情况下,他们不得不通过增加劳动强度,延长工时,提高工人本身和劳动的质量标准,来维持更大量的简单劳动。

[3] 基本上要伪装,但它是在第二部类交换行动的范围内发生的。

[4] 布哈林在此处指的是Δβ1c﹥Δα1和Δβ1v﹥Δα1

[5] 马克思《剩余价值学说史》,人民出版社1978年版第2卷第580页。

[6] 马克思《剩余价值学说史》,人民出版社1978年版第2卷第572页。

[7] 卢森堡《资本积累论》,三联书店1959年版第109页。

[8] 我们用代数例式替换算术例式,因为算术例式具有算术例式的逻辑,它常常使问题复杂化,而这种复杂化决不是由于问题的本身引起的,而且只能使基本的问题模糊不清。

[9] 卢森堡《资本积累论》,三联书店1959年版第261—262页。

[10] 马克思《剩余价值学说史》,人民出版社1975年版第1卷第303—304页。

[11] 马克思《资本论》,人民出版社1975年版第3卷第341页。

[12] 卢森堡《资本积累——一个反批评》,见书第59页。

[13] 卢森堡《资本积累——一个反批评》,见书第63页。(这里和下面的着重点是我加的)。——尼·布)。

[14] 同上,见本书第64页。

[15] 同上,见本书第64页。

[16] 同上,见本书第64页。

[17] 卢森堡《资本积累——一个反批评》,见书第65页。(这里和下面的着重点是我加的)。——尼·布)。

[18] 卢森堡《资本积累——一个反批评》,见书第65页。

[19] 卢森堡《资本积累——一个反批评》,见书第66页。

[20] 马克思《资本论》,人民出版社1975年版第2卷第439页。

[21] 确切地说,这里需要少得多的数量的货币,因为同样数量的货币促成了一系列的购买活动。在特定的逻辑范围内,这是无足轻重的。在另一种逻辑范围内这种内容就极为重要。后面还将细述。

[22] 卢森堡《资本积累——一个反批评》,见书第64页。

[23] 马克思《资本论》,人民出版社1975年版第2卷第119页。

[24] 马克思《资本论》,人民出版社1975年版第1卷第150页。

[25] 马克思《资本论》,人民出版社1975年版第1卷第166页。

[26] 马克思《资本论》,人民出版社1975年版第1卷第645—646页。

[27] 马克思《资本论》,人民出版社1975年版第1卷第645—646页。

[28] 我们顺便指出,在第二种情况中的国外是指不同的国外。




上一篇 回目录 下一篇