中文马克思主义文库 -> 〔德〕罗莎·卢森堡〔苏〕尼·布哈林 -> 《帝国主义与资本积累》(1915、1924)

附文二
评论斯威齐对布哈林的批判



  斯威齐在其《资本主义发展理论》一书中批评了布哈林的资本扩大再生产的方程式,理由是这个方程式中没有包括那些将会增加资本家阶级对剩余价值的个人的(即非生产性的)消费的条件。斯威齐还指责布哈林“不能想象资本家消费的增加”[1]。这一点是容易说明的,因为布哈林具体地说:“……用绝对的话来说,因为资本家的消费增长,工人的消费也增长。”由此可见,斯威齐的批评是没有根据的。
  然而,对布哈林方程式总的批评,使人有理由进行进一步的调查。
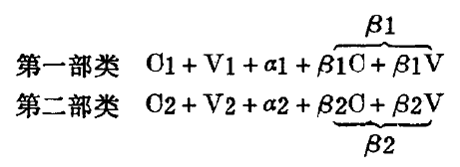
  布哈林的方程式在简单再生产转为扩大再生产后的积累过程中形成其模式的第一步。他一开始就这样规定他的扩大再生产图式:

  

  α=资本家阶级非生产性消费的剩余价值
  β=资本化即积累的剩余价值
  βC=定为不变资本的那一部分
  βV=具有可变资本作用的那一部分
  这样,只有在简单再生产的情况下,α≦S和等号才会成立。如果剩余价值全部实现,上列图式就可以简化为(V1+B1V+α1)=(C2+B2C)
  斯威齐运用了类似的方程式,只有一点不同。他这样表述其方程式:
  第一部类 C1+V1+Sc1+SΔC1+SαV1+SαC1=W1
  第二部类 C2+V2+Sc2+SΔC2+SαV2+SαC2=W2
  斯威齐用SC来表示资本家在前一时期或周期的水平上所消费的那部分剩余价值。SΔC是对消费的剩余价值增加的数额。SαV是增加到不变资本中的那部分。W1和W2分别等于各该部类的产品。斯威齐的扩大再生产方程式是

C2+Sac2=(V1+Sc1+SΔC1+SαV1)

  在斯威齐的图式中,各个部类的总剩余价值是S=Sc+SΔC+SαV+SαC;在布哈林的图式中是S=α+Bv+Bc
  斯威奇对布哈林的批评是以他自己的SC和SΔC为中心。他说,“布哈林在正式表述其扩大再生产图式时错误地假定资本家的消费是一成不变的。因此,他省略了SΔC这个词汇。”[2]
  斯威齐好像忽略了布哈林分析的要害。布哈林使用“开始阶段”这个词汇和在他的上述方程式中以此为例时,他是在对比扩大再生产和简单再生产的基础。他这样做是强调这样一个基本的但从根本上说重要的思想:为了实现积累,资本家阶级不可能非生产性地消费全部剩余价值。事实上,既不可能有从简单再生产到扩大再生产的某一时刻的第一步,也不可能有资本主义下的简单再生产。简单再生产是马克思所描述的已经理想化的资本主义经济中的一种极端理想化的概念。布哈林受到批评是可能的,因为他没有说明这一点,但这并不能为斯威齐的上述评论提供理由。布哈林很清楚,有必要考虑SΔC这个标记的含义,即资本主义非生产性消费随着时间的转移而发生变化。他说:“在下一周期中,开始阶段的资本又重新产生,剩余价值的非生产性消费部分增长——第一次——剩余价值要积累的部分将增长的更多,等等。”[3]
  现在我们比较斯威齐和布哈林的方程式,按照布哈林的假定,这是第一阶段。
  布哈林 第一部类 C1+V1+α1+B1c+B1v=P1
  斯威齐 第一部类 C1+V1+Sc1+Sαc1+Sαv1    (SΔC1)
  布哈林 第一部类 C2+V2+α2+B2c+B2v=P2
  斯威齐 第一部类 C2+V2+Sc2+Sαc2+Sαv2    (SΔC2)
  P1和P2等于各该部类的产品。现在我们可以看到,如果按照布哈林假定的这是第一轮积累的概念,那么,斯威齐的SΔC1和SΔC2只有等于零时才能包括进去。然而,我们可以说,斯威齐的方程式对扩大再生产来说还不够带有普遍性,因为它没有表明一些组成部分同时间联系在一起而呈现的各种情况。
  P、C、V、Sc、Sαc和Sαv这些不同的组成部分都会因时间的关系而发生一些变化,各组成部分不一定是一样的。这就是说,它们可以一个周期一个周期地发生变化。有些组成部分的变化可能是积极的,有些则可能是消极的。
  我们可以用布哈林的术语象征性地表达这一点如下:
  第一部类产品
  P1+ΔP1=(C1+Δc1)+(V1+Δv1)+(α1+Δα1)+(B1c+ΔB1c)+(B1v+ΔB1v
  第二部类产品
  P2+ΔP2=(C2+Δc2)+(V2+Δv2)+(α2+Δα2)+(B2c+ΔB2c)+(B2v+ΔB2v
  现在我们可以比较斯威齐和布哈林二人的方程式——我们引伸了的方程式。
  布哈林 P1+ΔP1=(C1+Δc1)+(V1+Δv1)+(α1+Δα1)+(B1c+ΔB1c)+(B1v+△B1v
  斯威齐 W1=C1+V1+Sc1+SΔc1+Sαc1+Sαv1
  布哈林 P2+ΔP2=(C2+Δc2)+(V2+Δv2)+(α2+Δα2)+(B2c+ΔB2c)+(B2v+ΔB2v
  斯威齐 W2=C2+V2+Sc2+SΔc2+.Sac2+Sαv2
  斯威齐指出,有必要表明布哈林的α中的积极增长,他自己的方程式中表明了这一点。然而,一方面我们所相信的是布哈林思想的精神,同时我们进一步接受表明所有的组成部分可以像α一样变化的思想。令人困惑的是,斯威齐对布哈林的批评集中于他没有把SΔc。(或者像上面列出的Δc)包括在他的第一阶段方程式中,这个方程式中并不需要它。但是,斯威齐一方面包括SΔc,另一方面在总的情况下省略了类似的术语Δc、Δv、ΔSαv和ΔSαc




[1] 《资本主义发展理论》,第164页脚注。

[2] 同294页脚注。

[3] 着重点是布哈林加的。




上一篇 回目录 下一篇