Marx e as crises

Daniel Bensaïd

21 de Agosto de 2009

Transcrição autorizada
logo

Primeira Edição: Este texto constitui a primeira parte da introdução de Daniel Bensaïd à recolha de textos de Marx sobre as crises publicada por Demopolis: ‘Karl Marx, As Crises do Capitalismo', Demopolis, Paris, Junho de 2009.
Fonte: Associação Política Socialista Revolucionária.
HTML: Fernando A. S. Araújo


A proeza de Marx, contemporâneo da primeira grande expansão bancária dos anos vitorianos e do Segundo Império, é ter atravessado as aparências, a superfície confusa das coisas, para procurar no coração do sistema as razões da ausência de razões, a lógica do ilógico.

Quando, no início dos anos 50, ele se dedica ao grande estaleiro da crítica da economia política, falta-lhe, no entanto, recuo histórico para apreender plenamente os ritmos da economia e desmontar os seus mecanismos. O próprio Ricardo, escrevendo sobre as crises de 1815, "não sabia, no fundo, nada sobre as crises". Os seus sucessores já não tinham as mesmas desculpas: "Os fenómenos posteriores, em particular a periodicidade quase regular das crises do mercado mundial, já não lhes permitem negar os factos ou interpretá-los como acidentais".

"O dinheiro grita o seu desejo"

"A crise inquieta-me de maneira infernal: Todos os dias, os preços baixam. Manchester afunda-se cada vez mais na crise.", escreve Engels a Marx a 17 de Dezembro de 1857. O seu entusiasmo perante a propagação da crise americana de 1857 é contagioso. As notas dos Manuscritos de 1857-1858 (ou Grundisse) testemunham-no. A crise surge sob a metáfora da loucura, mas de uma loucura que "domina a vida dos povos". As tendências esquizóides do sistema capitalista manifestam-se plenamente. A unidade aparente da mercadoria "fragmenta-se". O valor de uso e o valor de troca "dissociam-se" e "comportam-se de maneira autónoma um em relação ao outro". Toda a economia se torna delirante, "alienada", enquanto esfera autónoma tornada incontrolável.

O vocabulário clínico não tem aqui nada de fortuito:

"No decurso das crises, quando o momento de pânico passou e a indústria estagna, o dinheiro está fixo nas mãos dos banqueiros, dos agentes de troca, e tal como o cervo brame a sua sede por água fresca, o dinheiro grita o seu desejo de um domínio onde possa ser valorizado enquanto capital."[1]

A sobre produção e a desvalorização do capital aparecem então como "a recordação repentina de todos os momentos necessários da produção fundada sobre o capital". Um regresso do recusado, em suma: a crise recorda à esfera (ou à bolha) financeira que ela não flutua por levitação, desligada daquilo a que hoje chamamos bizarramente "a economia real".

A condição de possibilidade das crises inscreve-se na duplicidade da mercadoria. Como todo o bom burguês, ela vive uma dupla vida. Por um lado, ela é tempo de trabalho abstracto materializado; por outro lado, é o resultado de um trabalho determinado. Para se comparar a outras grandezas de trabalho, ela deve "ser em primeiro lugar transposta em tempos de trabalho, ou seja, em qualquer coisa que difira qualitativamente dela". Esta "dupla existência" comporta em si mesma o risco permanente de uma cisão; Ela "deve necessariamente progredir até à diferença, a diferença até à oposição e à contradição entre a natureza particular da mercadoria enquanto produto [valor de uso] e a sua natureza universal enquanto valor de troca. "

Para Marx, a crise de 1857 coloca em evidência o divórcio entre o valor de uso do produto e o valor de troca expresso no dinheiro. É possível que a mercadoria já não possa ser "colocada em equação com a sua forma universal, o dinheiro". Instala-se então a discórdia entre produção e circulação. Compra e venda adquirem formas de existência "espacial e temporalmente distintas uma da outra, indiferentes uma à outra": "A sua identidade cessa imediatamente". A crise revela e conduz ao paroxismo esse mal-estar identitário. A busca da identidade perdida perante uma fuga em frente, seguida de separações dolorosas e de reencontros efémeros. Como numa canção de Jules y Jim, compra e venda perdem-se de vista e reencontram-se sem cessar: "Eles podem corresponder-se ou não se corresponder; eles podem coincidir ou não; A sua relação pode ser marcada por desproporções. Certo, eles procurarão constantemente igualizar-se, mas agora é o movimento contínuo da igualização que substitui a igualdade imediata anterior, igualização que, precisamente, pressupõe que seja continuamente criada uma não-igualdade. "

A crise de 1857 coloca em evidência o divórcio entre o valor de uso da mercadoria e o valor de troca expresso no dinheiro, que ameaça interromper a sua "convertibilidade. O perigoso salto do capital da forma de mercadoria para sua forma de dinheiro pode então torna-se mortal. O "germe das crises" está então presente no dinheiro enquanto "valor tornado autónomo", "forma de existência tornada autónoma do valor de troca"[2]. Esta autonomia engendra a ilusão de que o dinheiro possa multiplicar-se por partenogénese, crescer no circuito do crédito sem ser fecundado pela sua passagem pelo processo de produção.

Uma cisão nunca vem só. Aquela que divide a troca em actos independentes, de compra e de venda, refracta-se na divisão entre capital industrial, comercial e bancário: "o valor para a troca separa-se da troca por mercadorias". Marx entrevê então a ordem complexa das arritmias do capital:

"Até aqui, só demonstrámos com evidência a indiferença recíproca dos momentos singulares do processo de valorização; que interiormente eles se condicionam, e que exteriormente se procuram, mas que eles podem ou não encontrar-se, separar-se ou não, corresponder-se ou não uns aos outros. A necessidade interna daquilo que forma um todo; e, ao mesmo tempo, a sua existência autónoma e indiferente, que já constitui a base das contradições. Mas, estamos longe de ter terminado. A contradição entre a produção e a valorização — na qual o capital constitui a unidade — deve ser apreendida de forma ainda mais imanente, como manifestação indiferente e aparentemente independente dos diferentes momentos singulares do processo, ou, mais exactamente, da totalidade de vários processos que se opõem."[3]

A divisão propaga-se. A ordem descompassada da produção mercantil, onde o valor das coisas vira as costas à sua substância útil, range e empena por todas as partes. Não são mais do que queixas e lamentos, agonias e gemidos de corpos desarticulados:

"A crise manifesta a utilidade dos momentos promovidos à autonomia relativamente uns aos outros. Não existiria crise sem esta unidade interna de elementos aparentemente indiferentes uns em relação aos outros. Ela não é mais do que a instalação violenta da unidade das fases do processo de produção, que se autonomizaram uma face à outra. É o estabelecimento pela força da unidade entre os momentos promovidos à autonomia e à autonomização pela força de momentos que estão essencialmente unidos".[4]

A ordem do capital — mas não a harmonia social — deve então ser restabelecida pela violência e pela força. Isto é o que se obstinam em negar os economistas que se limitam à "unidade essencial" e ignoram o que torna os elementos do processo de conjunto estranhos uns aos outros, e hostis até à explosão.

Desequilíbrio lógico

Na passagem das Teorias sobre a mais-valia retomadas no presente volume, Marx reaborda e desenvolve a análise das crises e da sua recorrência, que tinha iniciado em Grundrisse. Ele opõe-se às teorias do equilíbrio, inspiradas no "insípido Jean-Baptiste Say", segundo as quais a sobre produção seria impossível, devido a uma identidade imediata entre a procura e a oferta. O princípio pelo qual "trocamos produtos contra produtos" garantiria, segundo ele, "um equilíbrio metafísico entre vendedores e compradores". Ricardo recorre a esta fábula de Say, segundo a qual "ninguém produz sem a intenção de vender ou de consumir, e ninguém vende sem ser para comprar uma outra mercadoria que lhe possa ser útil". Ao produzir, cada um tornar-se-ia "necessariamente quer consumidor da sua própria mercadoria, quer comprador ou consumidor das mercadorias de outrem". O ciclo seria então perfeitamente fechado; e o equilíbrio entre compra e venda, oferta e procura, assegurado.

O disfuncionamento não poderia [ser] então senão de uma falta de informação ligada à complexidade crescente do mercado. Ricardo contempla-o, mas tranquiliza-se de imediato: "Não poderíamos admitir que o produtor possa estar mal informado durante muito tempo sobre as mercadorias que pode produzir com o lucro mais alto", e "é portanto inverosímil que ele possa produzir duravelmente uma mercadoria para a qual não existe procura". Em suma, o mercado seria um informador perfeito. Mais próximo de nós, este foi o argumento liberal de Friedrich Hayek em favor da concorrência livre e não falseada, tão cara aos arquitectos da União Europeia. A privatização da informação financeira e a invenção de produtos financeiros cada vez mais sofisticados, que apagam as pistas e confundem as mensagens, retiram fundamento a este mito. O mercado mostrou-se incapaz de suportar "o desafio informativo" ligado à micro finança. Constatando a impotência da comissão encarregue de vigiar os mercados americanos (a SEC, Securities and Exchange Commission) em desenredar as contas fabulosas de um Madoff, o seu antigo presidente, William Donaldson, admite que continua "por inventar" um "controlo adaptado a sistemas do mercado complexo".

É uma constatação de fracasso, em boa e devida forma, das pretensiosas "matemáticas financeiras" que nunca são, como bem escreve Denis Guedj, senão matemáticas mercenárias aplicadas à finança[5]. O seu modelo 'Iraniano', concebido para formalizar "efeitos de agitação média", é impotente para prestar contas "das situações de risco extremo que podem surgir nos mercados, de forma que eles não vêem as crises ou as falhas", lamenta Olivier Le Courtois, professor de finanças (!) na EML de Lyon. Nas situações extremas em que o sistema capitalista gera de forma recorrente o "imprevisto sábio" sobre o qual trabalham os calculadores de risco, transforma-se, com efeito, em "imprevisto selvagem".

Ricardo ainda podia crer na imparcialidade e na fiabilidade informativa do mercado, se não em tempo real, pelo menos a prazo, a longo prazo, a posteriori. Mas, e enquanto se espera? Entretanto, a cisão entre venda e compra permanece, e a "disjunção do processo de produção imediato e do processo de circulação desenvolve a possibilidade da crise". Esta possibilidade resulta do facto de as formas que o capital percorre no ciclo das suas metamorfoses (de dinheiro — A — a meios de produção — P — de meios de produção a mercadorias — M —, e de mercadorias a dinheiro) "poderem ser, e serem, separadas". Elas "não coincidem no tempo e no espaço". E mais ainda com a mundialização: o capitalista individual entende o salário que paga aos seus assalariados como um custo de produção puro, a partir do momento em que o consumidor compra produtos de importação e que os seus próprios produtos são vendidos num mercado longínquo. O círculo, qualificado de virtuoso, entre produção e consumo, venda e compra, é estilhaçado.

A separação da venda e da compra distinguem a economia capitalista de uma economia de troca onde "ninguém pode ser vendedor sem ser comprador", e vice-versa. Então, o conjunto da população é directamente orientado para a satisfação de necessidades imediatas. "Na produção mercantil", em contrapartida, "a produção imediata desaparece". Já não se produz para as necessidades, mas pelo lucro, que não tem qualquer interesse pelas necessidades sociais, mais apenas pela procura solvente. Pois, "se a venda não tem lugar, é a crise". Na produção mercantil, para realizar a mais-valia que lhe é incorporada, "a mercadoria deve necessariamente ser transformada em dinheiro, enquanto o dinheiro não deve necessária e imediatamente ser transformado em mercadorias". É por isso que venda e compra se podem dissociar. Sob a primeira forma, "a crise é a metamorfose da própria mercadoria, a disjunção da compra e da venda". Sob a segunda forma, ela é função do dinheiro como meio de pagamento tornado autónomo, "em que o dinheiro figura em dois movimentos separados no tempo, em duas funções distintas", de simples equivalente geral entre mercadorias e de capital acumulado.

Esta autonomização do dinheiro encontra o seu prolongamento na separação entre o lucro de uma empresa e o capital portador de interesse. Então, diz Karl Marx,

"dar à forma da mais-valia uma existência autónoma, causa a esclerose desta forma relativamente à sua substância. Uma parte do lucro, por oposição à outra, desliga-se completamente da relação capitalista enquanto tal, e parece derivar não da exploração do trabalho assalariado, mas sim do trabalho do próprio capitalismo. Por oposição, o interesse parece então ser independente quer do trabalho assalariado do operário e do trabalho do capitalismo, e ter no capital a sua fonte própria, autónoma. Se primitivamente o capital fazia, na superfície da circulação, de fetiche capitalista, de valor criador de valor, ele reaparece aqui sob a forma de capital portador de interesse, a sua forma mais alienada e a mais característica."[6]

Este prodígio do capital portador de interesse, do dinheiro que parece fazer dinheiro sem percorrer o ciclo completo das suas metamorfoses, é o estádio supremo do fetichismo e da mistificação mantida pelos economistas vulgares.

Assim, para realizar a mais-valia é necessário vender. Mas a busca insaciável do lucro tende a restringir os mercados, comprimindo os salários ("o poder de compra"!). Graças aos prodígios do crédito, a autonomia do dinheiro permite que seja empreendido um novo ciclo de produção, que flua uma nova vaga de mercadorias, enquanto a precedente ainda não foi escoada. Saturação do mercado (sobre produção) e sobre acumulação do capital são, então, o verso e o reverso de um mesmo fenómeno[7]. Os sucessores de Ricardo, escreve Marx, bem quiseram admitir a sobre produção sob uma das suas formas, "a plétora, ou sobre abundância de capital", mas negam-na sob outra forma, a da sobre abundância de mercadorias no mercado[8]. Claro que esta sobre produção não tem nada a ver com uma saturação das necessidades sociais, que continuam amplamente insatisfeitas: "Ela não tem senão a ver com as necessidade solventes". Não se trata de uma sobre produção absoluta ou em si, mas sim de sobre produção relativa à lógica da acumulação do capital.

O capital transporta em si a crise

Nos Manuscritos de 1857-1858, a crise intervém de forma tripla: empiricamente, através da recessão americana; através da separação da compra e da venda, que cria as condições formais da sua possibilidade; e, por fim, metaforicamente, como loucura e sofrimento pela cisão. Mas a teoria carece ainda de luzes sobre o plano de conjunto da Crítica da economia política. Em ‘O Capital', ela ganha a sua coerência.

No Livro I, sobre o "processo de produção", Marx retoma a sua crítica da lei clássica dos mercados e do equilíbrio:

"Não há nada mais tolo do que o dogma segundo o qual a circulação implica necessariamente o equilíbrio das compras e das vendas, visto que toda a venda é compra, e vice-versa."

O que se pretende provar assim é que "o vendedor leva ao mercado o seu próprio comprador". Esta identidade imediata, que existia no comércio de troca é rompida pela generalização da produção mercantil e pela autonomização do dinheiro enquanto equivalente geral. Já não se trata, portanto, de troca directa de um valor de uso contra um outro valor de uso, mas de uma mercadoria contra dinheiro. A transacção torna-se "uma pausa", ou "um intermédio na vida da mercadoria, que pode durar mais ou menos tempo". A autonomia do dinheiro sanciona então a ruptura da simetria perfeita da troca. A vida da mercadoria, o encadeamento das suas metamorfoses, depende primeiramente dos desejos e caprichos do seu comprador potencial, mas também dos seus meios e solvência. No mostrador ou na vitrina, ela retém o seu alento face ao dinheiro, esse belo indiferente, que quererá comprá-la ou a desdenhará, segundo o seu belo prazer. Se este intermédio e esta espera se eternizam, a mercadoria em apneia arrisca a asfixia. A disjunção e a assimetria entre o acto de compra e o acto de venda é, portanto, um factor, não de equilíbrio, mas sim de desequilíbrio dinâmico.

O conceito de crise intervém então uma primeira vez em ‘O Capital', não para evocar as crises empíricas, mas como consequência lógica do "laço íntimo" e contraditório entre os actos disjuntos e potencialmente contraditórios de compra de venda. Aparece de novo, mais à frente, no capítulo sobre "A lei geral da acumulação capitalista". Articula-se então com a temporalidade própria do capital. A acumulação apresenta-se como "um movimento de extensão quantitativa" que visa, graças às inovações tecnológicas estimuladas pela concorrência, a um aumento da produtividade do trabalho e a uma economia do trabalho vivo (logo, de emprego). A produção pode então continuar a aumentar enquanto os mercados se reduzem. Apesar das aparências, o factor determinante não reside na tecnologia em si, mas nos fluxos e refluxos da força de trabalho empregada.

Marx aborda assim, não apenas as condições de possibilidade das crises, mas o seu carácter recorrente e cíclico:

"A conversão contínua e renovada de uma parte da classe operária em outro tanto de braços semi-ocupados, ou totalmente desocupados, imprime assim ao movimento da indústria moderna a sua forma típica. Da mesma forma que os corpos celestes, uma vez lançados na sua órbita, a descrevem durante um tempo significativo, a produção social, uma vez lançada no movimento alternado de expansão e de contracção, repete-o por uma necessidade mecânica. Os efeitos tornam-se, por sua vez, causas, e peripécias irregulares e aparentemente acidentais, assumem cada vez mais a forma de uma periodicidade normal. "É apenas do século XIX, desta época em que o mercado se mundializa, em que as nações industrializadas se tornam numerosas, «que datam os ciclos renascentes cujas vagas sucessivas abarcam anos, e que levam sempre a uma crise geral, ao fim de um ciclo e ponto de partida de um outro". O conceito de crise associa-se ao dos ciclos económicos que caracteriza a economia capitalista[9].

No Livro II, sobre "o processo de circulação", Marx marca as estações do calvário da mercadoria no processo de circulação. Ele introduz novas determinações, nomeadamente as do capital fixo e de capital circulante, e do seu ritmo desigual de renovação. Ele retira também consequências da descontinuidade entre produção e circulação. Submetida às exigências de uma acumulação guiada pela busca insaciável de lucro, a produção em massa pode continuar sem que as mercadorias produzidas no ciclo anterior tenham realmente entrado e sido escoadas no consumo individual ou produtivo. O fecho do ciclo das metamorfoses do capital não está, portanto, garantido. Se fracassa, "as vagas de mercadorias sucedem-se", enquanto as precedentes ainda não foram senão aparentemente absorvidas pelo consumo. Produz-se então "uma paragem". "Compra e venda paralisam-se reciprocamente". Assim,

"a totalidade do processo de produção encontra-se no estado mais florescente, enquanto uma grande parte das mercadorias ainda não entrou senão aparentemente no consumo e permanece nas mãos dos revendedores sem encontrar comprador, ou seja, encontram-se ainda no mercado. ".

É a quebra das vendas, são os preços em queda para escoar os stocks, a venda com prejuízo, se necessário, de forma a reconstituir liquidez.

No Livro III, sobre "o processo de reprodução de conjunto", Marx mostra, enfim, como a cristalização do capital em diversos capitais — industrial, comercial, bancário — chega a ocultar temporariamente a desproporção crescente entre a reprodução alargada e a procura final restante. A explosão da crise pode assim ser diferenciada, nomeadamente graças à intervenção dos capitalistas financeiros, que transformam o seu lucro realizado em capital-dinheiro de empréstimo:

"Conclui-se então que a acumulação desse capital, diferente da acumulação real, qualquer que seja o rebento, aparece se não considerarmos senão os capitalistas financeiros, banqueiros, etc., mas também a acumulação própria destes capitalistas financeiros."[10]

Assim, a acumulação deste "capital fictício" na véspera da crise actual, tinha atingido tais dimensões que o esvaziar da bolha financeira foi igualmente vertiginoso: Em pouco menos de um ano, entre 29 de Dezembro de 2007 e 31 de Março de 2009, a capitalização bolseira do banco HSBC passou de 199,9 para 68 milhões de dólares (ou seja, uma quebra de dois terços), a do Bank of America passou de 194,6 para 31,1 milhões, a do Citygroup passou de 151,3 para 13 milhões, a do Natixis passou de 29,8 para 4,9 milhões, etc. Entre as sessões de 29 de Junho de 2007 e a do 1º de Abril de 2009, os índices das principais praças financeiras caíram em 53% (CAC 40) e 43% (Dow Jones).

A crise não pode, portanto, ser conjurada indefinidamente. O desenvolvimento do crédito pode adiá-la, como se produziu nos anos 1990, em que a desregulação financeira pôde dar a ilusão de um "regresso do crescimento". Mas o capital não pode prosperar indefinidamente a crédito. A quebra das vendas, ou o fracasso por causa da acumulação de créditos insolventes, acaba por dar o sinal geral de alarme. Quando já não podemos ignorar que a primeira vaga de mercadorias não foi senão aparentemente absorvida pelo consumo (ou graças a um crédito aventureiro), é a avalanche:

"Os capitais mercantis disputam o lugar no mercado. Para vender, os últimos a chegar vendem abaixo do preço, enquanto os primeiros stocks não são liquidados dentro dos prazos de pagamento. Os detentores são obrigados a declarar-se insolventes, ou a vender a qualquer preço para poderem pagar. Esta venda não corresponde em nada ao estado da procura, ela corresponde apenas à procura de pagamento, à necessidade absoluta de converter a mercadoria em dinheiro. A crise rebenta."[11]

É muito exactamente o que se produz desde o início da crise de 2008: vemos concessionários propor duas viaturas pelo preço de uma, promotores imobiliários oferecerem um automóvel como prémio do aluguer de uma habitação, e saldos monstruosos que começam a 70% ou menos de 90% do preço inicial!

A primeira determinação da crise reside então na disjunção entre a esfera da produção e a da circulação. A segunda, na disjunção entre o ritmo de rotação do capital fixo e aquele do capital circulante. O Livro III introduz uma nova, que pressupõe e integra as duas precedentes: a "lei da queda tendencial da taxa de lucro". O capítulo 13, sobre "A natureza da lei", recapitula "os três factos principais da produção capitalista": a concentração dos meios de produção em poucas mãos, a organização do trabalho social e a sua divisão como trabalho cooperativo, e a constituição do mercado mundial.

"No que respeita à população, a enorme força produtiva que se desenvolve no quadro do modo de produção capitalista, e o aumento dos valores-capital, que crescem bem mais depressa do que a população, entram em contradição com a base do lucro sobre a qual se exerce esta enorme força produtiva — e que, relativamente ao aumento da riqueza, se ameniza cada vez mais —, e com as condições de valorização deste capital que cresce sem cessar. Daí as crises".

Com efeito, daí as crises.

Na realidade, por detrás da aparência económica da "lei da queda tendencial da taxa de lucro", manifestam-se o conjunto das barreiras sociais sobre as quais choca a acumulação do capital. Esta estranha lei, que Marx expõe no capítulo seguinte, "as contradições internas", alimentou bastantes controvérsias. De facto, ela parece não se poder impor a não ser através das suas próprias negações: o aumento da taxa de exploração, que visa restabelecer o lucro; a predação imperialista, que permite reduzir a composição orgânica do capital através da exploração de uma força de trabalho em saldo, e através da redução do custo das matérias-primas; a aceleração da rotação do capital, graças à publicidade, ao crédito, à gestão dos stocks para compensar a quebra na taxa de lucro através do aumento da sua massa; A intervenção pública do Estado via despesas públicas, ajudas fiscais e despesas de armamento.

É, portanto, estranha, esta lei que se contradiz e contraria a si mesma:

"A depreciação periódica do capital, que é um meio imanente ao modo de produção capitalista para deter a redução da taxa de lucro e acelerar a acumulação do capital através da formação de capital novo, perturba as condições determinadas nas quais se cumpre o processo de circulação e de reprodução do capital e, consequentemente, é acompanhada de bruscas interrupções e crises do processo de produção."

Quando a taxa de lucro baixa, aumenta o volume de capital de que o capitalista deve dispor para investir. Segue-se uma concentração de capitais que implica uma nova baixa da taxa de lucro, na medida em que ela se traduz por uma acumulação acrescida de capital constante. Ameaças de asfixia, os pequenos capitais dispersos são então levados a "enveredar pela via da aventura".

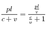
Equação da queda tendencial da taxa de lucro

formula com formula = composição orgânica do capital formula = taxa de exploração
encontra-se no numerador a taxa de exploração (ou de mais-valia): formula
E no numerador da composição orgânica formula
de forma que, se a composição orgânica aumenta quando a taxa de exploração continua igual, a taxa de lucro diminui.

Quanto mais se acumula o trabalho morto (c) em detrimento do trabalho vivo (v), (mais a "composição orgânica" do capital [c/v] aumenta, e mais a taxa de lucro [pl/(c+v)] tende então a baixar. Esta não é uma lei mecânica ou física, mais uma "lei social" (supondo que o termo da lei continue apropriado). A sua aplicação depende de variáveis múltiplos, de lutas sociais com resultado incerto, de relações de forças sociais e políticas instáveis. Ela não cessa portanto de se contrariar a si mesma, suscitando contra-tendências:

- o aumento da taxa de exploração tende à repor a taxa de lucro, seja pelo alongamento do tempo de trabalho, seja pelo aumento da sua produtividade, seja pela compressão dos salários abaixo das taxas de inflação, ou seja ainda pela amputação do salário indirecto (a protecção social);

- os mecanismos de dominação imperialista contribuem para fazer baixar a composição orgânica do capital pelo recurso a trabalho barato e pela redução do custo de produção de uma parte do capital constante;

- a aceleração da rotação do capital compensa a queda da taxa de lucro com o aumento da sua massa;

- a intervenção económica do Estado apoia a economia através das despesas públicas, das despesas de armamento, das ajudas fiscais e da "socialização das perdas".

O aumento da taxa de mais-valia [pl/v] pode então contrariar a "queda tendencial" de diversas maneiras. Através:

- da intensificação do trabalho - aumento da mais-valia relativa.

- do alongamento da sua duração - aumento da mais-valia absoluta.

- da redução do capital variável pela descida dos salários directos ou indirectos.

- da redução do capital constante pela redução do custo das matérias-primas, a produção de fluxo contínuo (just in time), o stock zero...

Além disso:

- A queda efectiva da taxa de lucro não implica automaticamente uma redução da sua massa. Se o ritmo de rotação do capital se acelera, a segunda pode continuar a aumentar, mesmo que a primeira caia. Se ele completa o seu ciclo, por exemplo, quatro vezes ao ano em vez de uma só, a massa pode, pelo contrário, ser multiplicada por dois, mesmo se a taxa diminui para metade. A facilidade do crédito, o marketing, a publicidade, a gestão do grande consumo, a obsolescência integrada, a falsa novidade da moda, contribuem precisamente a acelerar essa rotação e a dar o sentimento de uma aceleração da história.

- A extensão geográfica do domínio da produção mercantil também pode retardar os prazos da crise. A duplicação em vinte anos da força de trabalho disponível no mercado mundial de trabalho significa assim, quer um aumento do capital variável (logo, uma descida relativa da composição orgânica global) e um aumento do grau de exploração (dada a vulnerabilidade social de uma mão-de-obra frequentemente provada de direitos do trabalho e de protecções sociais); são dois factores susceptíveis de travar a queda da taxa de lucro, ou mesmo de a impedir temporariamente.

Estas respostas do capital à erosão tendencial da taxa de lucro são os recursos ocultos daquilo a que o senso comum chama mundialização. Assim, as crises não constituem limites absolutos à produção e ao consumo de riquezas sociais, mas contradições relativas a um modo de produção específico "correspondente a uma certa época de desenvolvimento restrito das condições materiais de produção". Não se produzem demasiados bens de consumo relativamente às necessidades da população, nem demasiados meios de produção relativamente à população em condições de trabalhar, "mas produzimos periodicamente demasiada riqueza, sob formas capitalistas contraditórias". No Livro III de O Capital, a separação da compra e da venda que constitui a condição geral formal das crises, traduz-se então concretamente pelo facto de a capacidade de consumo solvente entrar em contradição com a procura do máximo lucro. Marx nunca fala de uma "crise final". Ele demonstra apenas como "a produção capitalista tende sem cessar a ultrapassar as suas barreiras imanentes". Contrariamente ao que, nos anos 30, puderam pretender Evgheni Varga e os teóricos da crise de afundamento final do capitalismo (Zusammenbruchstheorie) no seio da Terceira Internacional[12], as suas crises são inevitáveis, mas não inultrapassáveis. A questão é saber a que preço, e sobre as costas de quem, elas podem ser resolvidas. A resposta não pertence à crítica de economia política, mas à luta de classes e aos seus actores políticos.


Notas:

[1] K. Marx, Manuscritos de 1857-1858, Paris, Editions sociales, 1980, tomo 1, p.356. (retornar ao texto)

[2] K. Marx, Manuscritos de 1861-1863, Paris, Editions sociales, 1980, pp. 17 et 18. (retornar ao texto)

[3] K. Marx, Manuscritos de 1857-1858, op. cit. tomo I, p. 354. (retornar ao texto)

[4] K. Marx, Théories sur la plus-value, Paris, Editions sociales, 1976, tomo 2, ver pp. 84 597 608, 612. (retornar ao texto)

[5] Denis Guedj, "Estes matemáticos vendidos aos financeiros/ Ces mathématiques vendues aux financiers", Libération, 10 Dezembro 2008: "Como não falar da diva dos média, a senhora Karoui? Madre Superiora das MAF (matemáticas aplicadas à finança), entrevistada pelo Wall Street Journal, que ousou proclamar: "As matemáticas financeiras não têm nada a ver com a crise". Não é porque os seus rebentos não viram chegar a crise que deixam de ter alguma coisa a ver com ela. Interrogada sobre os produtos derivados, a senhora Karoui oferece esta resposta magnífica: "a sua existência não é um absurdo". Enquanto matemática, ela utiliza a prova da existência pela impossibilidade de não-existência: os produtos derivados devem existir, visto que podem existir!" (retornar ao texto)

[6] K. Marx, O Capital, Paris, Editions sociales, tomo 3, p.20. (retornar ao texto)

[7.] Marx escreveu em O Capital que dizer que as crises são provocadas por uma ausência de procura ou de consumo efectivos constitui "uma pura tautologia": "O sistema capitalista não reconhece outro consumidor senão aquele que pode pagar. O facto de haver mercadorias invendáveis não significa mais do que o facto de não se lhes ter encontrado comprador». E Engels precisa, na Anti-Dühring, que é impossível explicar as crises capitalistas com fenómenos que existiam bem antes do capitalismo: "O subconsumo de massa, a restrição do consumo das massas ao estritamente necessário à reprodução, não é um fenómeno novo. Isso sempre existiu, desde que há classes exploradoras e classes exploradas. Em consequência, enquanto o subconsumo foi um traço permanente ao longo de milhares de anos, o afundar dos mercados nas crises, resultante de uma sobre produção, é característico dos últimos cinquenta anos. O subconsumo das massas é uma condição necessária de toda a sociedade baseada na exploração, incluindo, portanto, a sua forma capitalista; mas é o modo específico de produção capitalista que gera as crises. O subconsumo das massas é, assim, uma condição necessária das crises, e joga no seu desenvolvimento um papel há muito reconhecido. Mas não nos diz grande coisa sobre porque é que as crises existem hoje e porque é que não existiam anteriormente." (retornar ao texto)

[8] K. Marx, Théories sur la plus-value, Paris, Editions sociales, 1976, tomo 2, ver pp. (retornar ao texto)

[9] A crise de 1857 é a ocasião de uma tomada de consciência da periodicidade das crises. Em 1862, Clément Juglar publica Les crises commerciales et leur retour périodique en France, en Angleterre, aux Etats-Unis (As crises comerciais e o seu retorno periódico em França, em Inglaterra e nos Estados Unidos). Na sua correspondência com Engels, Marx tenta ligar esta periodicidade das crises aos ritmos de renovação do capital fixo. A teoria de ciclos longos, atribuída a Kondratieff, é bem posterior. Ver, a este respeito, Ernest Mandel, Long waves of capitalisme, e Dockès e Rosier, Les rythmes économiques. (retornar ao texto)

[10] K. Marx, O Capital, tomo 3, op. cit., p. 164 e 171. (retornar ao texto)

[11] K. Marx, O Capital, op. Cit., Livro III, tomo 2, p. 71. (retornar ao texto)

[12] Ver Giacomo Marramao, Il politico et le transformationi, Bari, 1979. (retornar ao texto)

Este texto foi uma colaboração
logo
Inclusão 10/02/2010
Última alteração 23/11/2015