Albert Einstein: Relativity
Part I: The Special Theory of Relativity
Now in practice we can move clocks and measuring-rods only with velocities that are small compared with the velocity of light; hence we shall hardly be able to compare the results of the previous section directly with the reality. But, on the other hand, these results must strike you as being very singular, and for that reason I shall now draw another conclusion from the theory, one which can easily be derived from the foregoing considerations, and which has been most elegantly confirmed by experiment.
In Section 6 we derived the theorem of the addition of velocities in one direction in the form which also results from the hypotheses of classical mechanics. This theorem can also be deduced readily from the Galilei transformation (Section 11). In place of the man walking inside the carriage, we introduce a point moving relatively to the co-ordinate system K1 in accordance with the equation
x1 = wt1
By means of the first and fourth equations of the Galilei transformation we can express x1 and t1 in terms of x and t, and we then obtain
x = (v + w)t
This equation expresses nothing else than the law of motion of the point with reference to the system K (of the man with reference to the embankment). We denote this velocity by the symbol W, and we then obtain, as in Section 6,
W=v+w A)
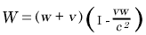
But we can carry out this consideration just as well on the basis of the theory of relativity. In the equation
x1 = wt1 B)
we must then express x1and t1 in terms of x and t, making use of the first and fourth equations of the Lorentz transformation. Instead of the equation (A) we then obtain the equation
which corresponds to the theorem of addition for velocities in one direction according to the theory of relativity. The question now arises as to which of these two theorems is the better in accord with experience. On this point we are enlightened by a most important experiment which the brilliant physicist Fizeau performed more than half a century ago, and which has been repeated since then by some of the best experimental physicists, so that there can be no doubt about its result. The experiment is concerned with the following question. Light travels in a motionless liquid with a particular velocity w. How quickly does it travel in the direction of the arrow in the tube T (see the accompanying diagram, Fig. 3) when the liquid above mentioned is flowing through the tube with a velocity v?
In accordance with the principle of relativity we shall certainly have to take for granted that the propagation of light always takes place with the same velocity w with respect to the liquid, whether the latter is in motion with reference to other bodies or not. The velocity of light relative to the liquid and the velocity of the latter relative to the tube are thus known, and we require the velocity of light relative to the tube.
It is clear that we have the problem of Section 6 again before us. The tube plays the part of the railway embankment or of the co-ordinate system K, the liquid plays the part of the carriage or of the co-ordinate system K1, and finally, the light plays the part of the
man walking along the carriage, or of the moving point in the present section. If we denote the velocity of the light relative to the tube by W, then this is given by the equation (A) or (B), according as the Galilei transformation or the Lorentz transformation corresponds to the facts. Experiment1) decides in favour of equation (B) derived from the theory of relativity, and the agreement is, indeed, very exact. According to recent and most excellent measurements by Zeeman, the influence of the velocity of flow v on the propagation of light is represented by formula (B) to within one per cent.
Nevertheless we must now draw attention to the fact that a theory of this phenomenon was given by H. A. Lorentz long before the statement of the theory of relativity. This theory was of a purely electrodynamical nature, and was obtained by the use of particular hypotheses as to the electromagnetic structure of matter. This circumstance, however, does not in the least diminish the conclusiveness of the experiment as a crucial test in favour of the theory of relativity, for the electrodynamics of Maxwell-Lorentz, on which the original theory was based, in no way opposes the theory of relativity. Rather has the latter been developed trom electrodynamics as an astoundingly simple combination and generalisation of the hypotheses, formerly independent of each other, on which electrodynamics was built.
Next: The Heuristic Value of the Theory of Relativity
1)
Fizeau found , where
is the index of refraction of the liquid. On the other hand, owing to the smallness of as compared with I,
we can replace (B) in the first place by , or to the same order of approximation by
, which agrees with Fizeau's result.